Over the past month and a half or so, I ran a user poll on the OpenSesame documentation website. The goal of this poll was to find out who the OpenSesame users are and what they would like to see improved.
I received responses from 250 individual users, who answered on average a bit more than two questions each. Since I estimate the number of active users to be around 1000, I was pleasantly surprised that such a large proportion of users took the time to participate. If you are among those 250, thank you!
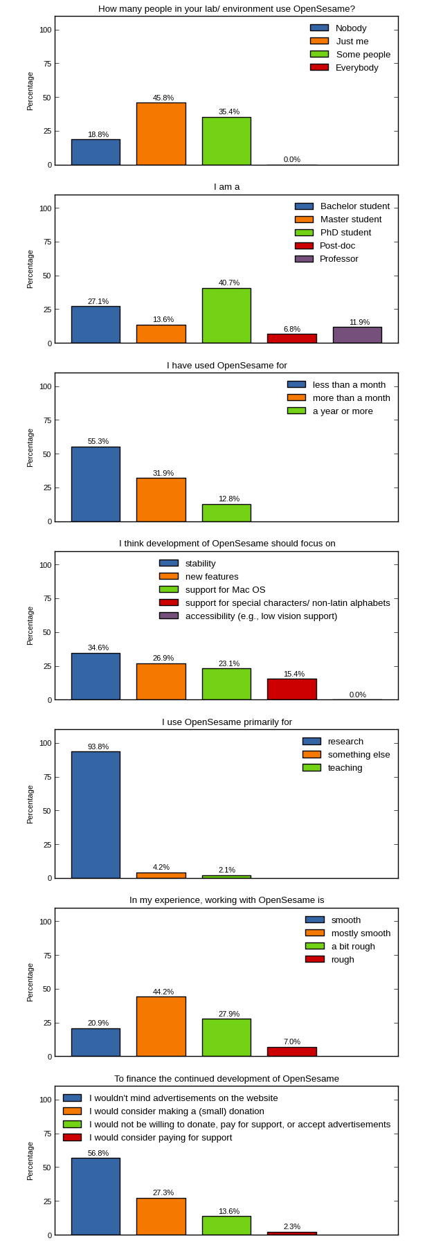
The results are shown in full in the graph below, but I will briefly highlight the most noteworthy (to me) results:
Most users are young researchers, who have not been using OpenSesame for very long. Perhaps this is not too surprising, because the project started only a little over a year ago.
Furthermore, most users feel that stability should be the main focus of development, although it's a reasonably close call with the other options. This fits with the fact that most users describe their experience with OpenSesame as 'mostly smooth'. This is not too bad, I think, but the goal is obviously to have the majority of users report a 'smooth' experience. Particularly users who require non-Latin alphabets are likely to run into issues, which is also reflected by the fact that a substantial number of respondents feel that development should focus on this aspect. For those who have had a bumpy ride using OpenSesame, rest assured that your bug reports will be taken seriously!
Finally, I asked what type of business model people would prefer to finance the development of OpenSesame. Just to avoid confusion, OpenSesame will never become a closed, non-free program. But it would be nice if there was some budget specifically for the development of OpenSesame—To buy equipment and perhaps even hire someone to work part time on the project. Most respondents indicated that they wouldn't mind advertisements on the website. That's good, because advertisements or some kind of sponsorship are probably the most realistic way to obtain some budget. But we'll see: There are no concrete plans in this direction, but of course it's always good to look ahead.



